样条插值法
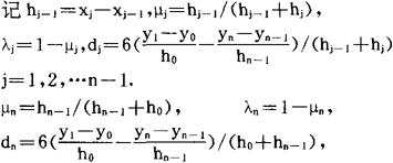
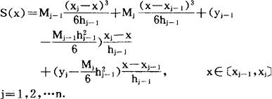
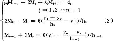
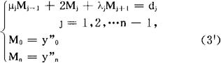
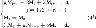
在〔a,b〕上给定分划π:a=x01<…n=b,若函数S(x)在每一个小区间〔xj-1,xj〕上是k次多项式,且在内点x1,x2,…xn-1处诸导数 连续,则称S(x)为对应于分划π的k次多项式样条函数{xj}称为样条结点。 样条函数的应用极广,现以三次样条函数为例说明它在插值方面的应用。 三次样条插值是指:寻求一个三次样条函数S(x),使其满足: 插值条件:S(xi)=yi,i=0,1,…,n (1) 及下列边界条件之一: S’(x0)=y’0,S′(xn)=y’n (2) 或 S”(x0)=y”0,S”(xn)=y”n (3) 或S(1)(x0)=S(1)(xn),1=0,1,2 (4) 其中数组 为给定的已知数据。  则三次样条插值问题的解为:  其中,对应于边界条件(2),{Mj}满足方程组:  对应于边界条件(3),{Mj}满足方程组:  对应于边界条件(4),{Mj}满足方程组: 
|