标准投资回收期内年费用和总费用
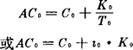
固定资产投资项目在规定的标准投资回收期内平均每年负担的费用,称为标准投资回收期内的年费用。 固定资产投资项目在规定的标准投资回收期内发生的费用,称为标准投资回收的总费用。这是评价投资项目备选方案优劣的两个指标。费用水平较低的方案较优。其公式分别为:  SC0=T0·C0+K0 式中:AC0表示标准投资回收期内年费用;SC0表示标准投资回收期内的总费用;T0表示标准投资回收期(只用利润补偿投资额的方法计算);K0表示投资额;C0表示年成本(包括折旧费用); 表示标准投资效益系数,即标准的投资报酬率。 |