网站首页  词典首页


请输入您要查询的字词:

 

字词 标准差
类别 中英文字词句释义及详细解析
释义 标准差

统计学上指方差的平方根值。

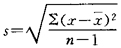
表现一组变数的变异度。其单位与观察值的度量单位相同。样本标准差的表达式为:

式中∑(x-)2为离均差的平方和,简称平方和;n-1称为自由度。

样本标准差是总体标准差的估计值。总体标准差以σ表示。

N为有限总体包含的个体数。

随便看

 

离鸟网收录3541549条中英文词条,其功能与新华字典、现代汉语词典、牛津高阶英汉词典等各类中英文词典类似,基本涵盖了全部常用中英文字词句的读音、释义及用法,是语言学习和写作的有利工具。

 

Copyright © 2004-2024 vtrois.com All Rights Reserved
更新时间:2026/4/19 17:34:14