标准化系数
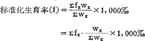
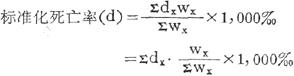
在人口统计中,指按同一年龄构成计算不同地区或不同时期的生育率或死亡率的统称。 由于生育率和死亡率的总水平的变动,不仅受年龄组育龄妇女生育率或各年龄组死亡率变动的影响,并受年龄构成变动影响。为了消除年龄构成变动对有关指标的影响,以分析各年龄组的生育率或死亡率的变动情况,就要计算标准化生育率和标准化死亡率。 如在地区间作比较时,统一的年龄构成可取自其中一地区,也可取自统一的平均年龄构成。但前者有较大任意性,实际上还是没有统一标准;后者消除了统一年龄构成的任意性和计算结果的差异。 标准化生育率的计算公式为:  式中:f为标准化生育率,fx为各年龄组的生育率,wz为标准人口数或百分数。 标准化死亡率的计算公式为:  式中:d为标准化死亡率,dx为各年龄组的死亡率,wx为标准人口数或百分数。 |