标准M/M/C排队模型
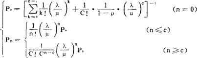
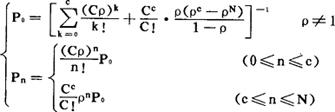
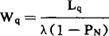
模型条件: 除服务机构为多台(C台)并列服务,且平均服务率相同,即μ1=u2=…=μc外,其余条件同模型M/M/1。 系统运行主要指标计算公式: (1)服务强度:  (2)系统中没有顾客和有n个顾客的概率:  (3)系统中队长的期望值: Ls=Lq+Cρ (4)系统中队列长的期望值:  (5)系统中顾客逗留时间的期望值:  (6)系统中顾客排队等候时间期望值:  〔参〕排队模型分类 标准M/M/1模型 系统容量有限制(N)的M/M/C排队模型 模型条件: 系统的容量最大限制为N(≥C),其他条件与标准M/M/C模型相同。 系统运行主要指标计算公式: (1)服务强度:  (2)系统中没有顾客和有n个顾客的概率:  (3)系统中队长的期望值: Ls=Lq+cp(1-PN) (4)系统中队列长的期望值:  (5)系统中顾客逗留时间的期望值:  (6)系统中顾客排队等候时间的期望值:  〔参〕排队模型分类 标准M/M/1排队模型 |