网站首页  词典首页


请输入您要查询的字词:

 

字词 枸橼酸黄连素[中]
类别 中英文字词句释义及详细解析
释义 枸橼酸黄连素[中]

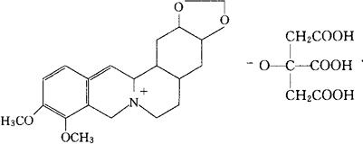
C20H18NO4·C6H7O7=527.5

CAS-2086-83-1(berberine)

5,6-二氢-9,10-二甲氧基苯并[g]-1,3-苯并二氧杂环[5.6-a]喹嗪嗡枸橼酸盐。

5,6-Dihydro-9,10-dimethoxybenzo[g]-1,3-benzodioxolo[5.6-a]quinolizinium citrate.

抗菌药。用于痢疾杆菌等的肠道感染。

枸橼酸小檗碱。

Berberine Citrate.

枸橼酸小檗碱片,枸橼酸小檗碱注射液。

随便看

 

离鸟网收录3541549条中英文词条,其功能与新华字典、现代汉语词典、牛津高阶英汉词典等各类中英文词典类似,基本涵盖了全部常用中英文字词句的读音、释义及用法,是语言学习和写作的有利工具。

 

Copyright © 2004-2024 vtrois.com All Rights Reserved
更新时间:2026/4/17 23:51:40