网站首页  词典首页


请输入您要查询的字词:

 

字词 枸橼酸二苯维林
类别 中英文字词句释义及详细解析
释义 枸橼酸二苯维林

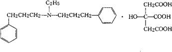
C20H27N·C6H8O7=473.56

CAS-5560-59-8

N-乙基-3,3′-二苯基二丙胺枸橼酸盐(1∶1).

N-Ethyl-3,3′-diphenyldipropylamine citrate(1∶1)

解痉药。

枸橼酸阿尔维林。

Alverine Citrate,Proverine,Spasmaverine.

USAN,MI.

随便看

 

离鸟网收录3541549条中英文词条,其功能与新华字典、现代汉语词典、牛津高阶英汉词典等各类中英文词典类似,基本涵盖了全部常用中英文字词句的读音、释义及用法,是语言学习和写作的有利工具。

 

Copyright © 2004-2024 vtrois.com All Rights Reserved
更新时间:2026/4/18 16:51:33