网站首页  词典首页


请输入您要查询的字词:

 

字词 构成函数概念的三要素
类别 中英文字词句释义及详细解析
释义 构成函数概念的三要素

1.三要素是指定义域、对应法则、值域.

2.三要素中只要有一个不同的两个函数就是不同的函数.

3.三要素中都相同的两个函数是同一个函数.

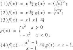
例 下列各组函数中,表示同一函数的是

解 (1)、(3)、(4)中的f(x)与g(x)的定义域不同,不是同一函数,(2)中的函数,定义域相同,对应法则也相同,所以f(x)与g(x)表示同一函数.

注意 在函数的概念中,定义域、值域、对应法则是它的三要素,但最重要的是定义域和对应法则,值域则是由定义域与对应法则确定的,两个函数当且仅当其定义域与对应法则相同才是相同的函数.

区间 设a、b是两个实数,且a

满足x≥a,x>a,x≤b,x

随便看

 

离鸟网收录3541549条中英文词条,其功能与新华字典、现代汉语词典、牛津高阶英汉词典等各类中英文词典类似,基本涵盖了全部常用中英文字词句的读音、释义及用法,是语言学习和写作的有利工具。

 

Copyright © 2004-2024 vtrois.com All Rights Reserved
更新时间:2026/4/20 6:32:04