网站首页  词典首页


请输入您要查询的字词:

 

字词 松香皂化值的测定计算
类别 中英文字词句释义及详细解析
释义 松香皂化值的测定计算

[说明]皂化值是表示1g松香与碱完全皂化时,所消耗的KOH毫克数。

[测定方法]准确称取2g已研细并能通过60目筛的样品于300mL锥形瓶中,加入25mL0.5N氢氧化钾——乙醇溶液,装上回流冷凝器,置于水浴上煮沸2h,煮沸期间不断摇晃,冷后加入数滴酚酞指示剂,用0.5mol/L盐酸标准溶液滴定至红色恰好消失,同时作空白试验。

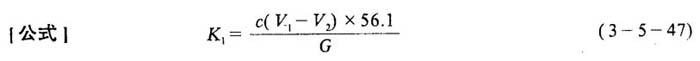
式中 K1——皂化值(mg/g)(以KOH计)

V1——空白试验耗用盐酸标准溶液量(mL)

V——滴定试样时耗用盐酸溶液体积(mL)

c——盐酸标准溶液浓度(mol/L)

G——试样重(g)

56.1——与1mL1mol盐酸溶液相当的氢氧化钾的量(mg)

随便看

 

离鸟网收录3541549条中英文词条,其功能与新华字典、现代汉语词典、牛津高阶英汉词典等各类中英文词典类似,基本涵盖了全部常用中英文字词句的读音、释义及用法,是语言学习和写作的有利工具。

 

Copyright © 2004-2024 vtrois.com All Rights Reserved
更新时间:2026/4/20 10:56:50