网站首页  词典首页


请输入您要查询的字词:

 

字词 杧果树皮
类别 中英文字词句释义及详细解析
释义 杧果树皮

【概况】:

基源 为漆树科杧果属植物杧果、扁桃和林生杧果的树皮。

原植物 杧果Mangifera indica L.。扁桃Mangifera persiciformis C.Y.Wu et Y.L.Ming。林生杧果Mangifera sylvatica Roxb.

余项参见“杧果”条。。

【化学】:

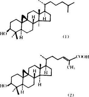
杧果茎皮中含有酮碳甙类成分杧果甙(Mangiferin)、高杧果甙(Homomangiferin)[1],中性三萜类化合物何帕烷-1β,2β,22-三醇(Hopane-1β,2β,22-triol)[2]、环木菠萝醇(Cycloartenol)(1)、环木菠萝-24-烯-3β,26-二醇(Cycloart-24-ene-3β,26-diol)、环木菠萝-25-烯-3β,24,27-三醇的二种C-24差向异构体、环木菠萝烷-3β,24,25-三醇的二种C-24差向异构体、环木菠萝-25-烯-3β,24-二醇的C-24差向异构体、3β-羟基环木菠萝-24-烯-26-醛、24-甲烯基环木菠萝烷-3β,26-二醇、达玛烯二醇(Dammarendiol)、3-酮基达玛-24E烯-20s,26-二醇(3-Ketodammar-24E-ene-20s,26-diol)、α-香树脂醇(α-Amyrin)、β-香树脂醇、β-谷甾醇、伪蒲公英甾烯二醇(Pseudo-taraxastene-3β,20-diol)等,酸性三萜成分杧果醇酸(Mangiferolic acid)(2)、杧果酮酸(Mangiferonic acid)、异杧果醇酸(Isomangiferolic acid)[3]、3α,22-二羟基环木菠萝-24E-烯-26-酸(3α,22-Dihydroxycycloart-24E-ene-26-oic acid)、3β,22-二羟基环木菠萝-24E-烯-26-酸、3β,23-二羟基环木菠萝-24E-烯-26-酸、3α,27-二羟基-24E-烯-26-酸等[2]

树脂中含三萜化合物也很多,其中有齐墩果醛(Oleanolic aldehyde)、齐墩果醇、杧果酮酸、异杧果醇酸、羟基杧果醇酸、羟基杧果酮酸、杧果醇酸、14-甲基杧果醇醛(14-Methylmangiferolic aldehyde)、14-甲基-24-甲烯基双氢杧果二醇(14-Methyl-24-methylenedihydromangiferodiol)、古柯二醇(Erythrodiol)、达玛烯二醇[(20s)Dammar-24-ene-3β,20-diol]、阿波酮酸(Ambonic acid)、环木菠萝醇乙酸酯(Cycloartanol acetate)、香树脂醇乙酸酯、羽扇豆醇乙酸酯(Lupeol acetate),以及一种双三萜成分14-甲基-24-甲烯基双氢杧果酮酸-(14-甲基-24-甲烯基双氢杧果二醇)酯等[1]

附 另从根皮及根中得到无羁萜(Friedelin)、无羁萜醇(Friedelan-3β-ol)、环木菠萝醇、α-香树脂醇、β-香树脂醇、β-各甾醇及其脂肪酸酯、杧果酮酸、杧果醇酸[4]、杧果甙[1]等。

参考文献 [1] 中药大辞典.上册.上海人民出版,1977∶1040 [2] Phytochemistry 1989;28(5)∶1471 [3] Phytochemistry 1985;24(10)∶2359 [4] Indian J Pharm Sci 1982;44(4)∶85。

【药性】:

功效 清暑退热。

主治 伤暑身热。

用法用量 内服:煎汤,9~15g。

。【临床应用】:

方选和验方 《岭南采药录》:“治伤暑,身热而恶热:杧果树皮、露兜竻、鬼箭羽、榕树须、狗肝菜,不拘多少,煎300ml,尽量饮之

随便看

 

离鸟网收录3541549条中英文词条,其功能与新华字典、现代汉语词典、牛津高阶英汉词典等各类中英文词典类似,基本涵盖了全部常用中英文字词句的读音、释义及用法,是语言学习和写作的有利工具。

 

Copyright © 2004-2024 vtrois.com All Rights Reserved
更新时间:2026/4/19 19:56:38