网站首页  词典首页


请输入您要查询的字词:

 

字词 杠香藤
类别 中英文字词句释义及详细解析
释义 杠香藤

【概况】:

异名 木贼枫藤(《浙江天目山药用植物志》),山龙眼、大力王(《全国中草药汇编》)。

基源 为大戟科野桐属植物石岩枫的根、茎及叶。

原植物 石岩枫Mallotus repandus(Willd.)Muell.-Arg.,又名黄豆树(《中国高等植物图鉴》)。

形态 藤本状灌木,有时为小乔木,藤长可达13~19m。小枝有星状柔毛。

单叶互生,叶柄长2.5~4cm;叶片三角状卵形或长卵形,先端渐尖,基部平截近圆形或带心形,长9~15cm,宽3.5~5cm,全缘,上面无毛或有星状毛,下面密生星状毛。花单性,雌雄异株;雄花序穗状,单一或分枝,腋生,雄花萼3裂,密被黄色茸毛;雄蕊多数;雌花序顶生或腋生,萼3裂;子房3室。蒴果球形,被锈色茸毛。种子黑色,微有光泽,球形,直径约3mm。

花期5~6月,果期8~9月。(图见《中国高等植物图鉴》.第2册.602页.2933图)

生境与分布 生于山坡裸岩旁或石砌上,喜石灰质土壤。分布于陕西、江苏、安徽、浙江、福建、台湾、广东、广西、湖北、湖南、四川。越南、印度、印度尼西亚、菲律宾、澳大利亚等国也有分布。

。【化学】:

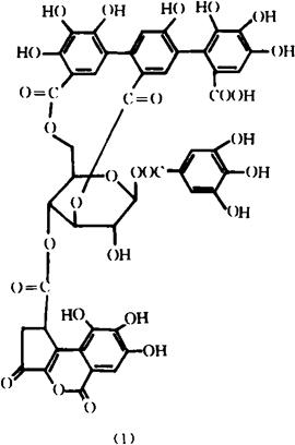
叶中得到14种鞣质和鞣质类似物,其中包括石岩枫鞣质(拟)(Repandusinin)(1)、石岩枫鞣酸A(拟)(Repandusinic acid A)、石岩枫鞣酸B(拟)、诃子拉京(Corilagin)、短叶苏木酚酸(Brevifolin carboxylic acid)、葡萄糖没食子酸(Glucogallin)、丁香色原酮(Eugeniin)、石榴黄素(Punicafolin)等。

参考文献 Chem Pharm Bull 1989;37(10)∶2624

【药性】:

功效 祛风。

主治 毒蛇咬伤,风湿痹痛,慢性溃疡。

用法用量 内服:煎汤,9~15g。

【临床应用】:

方选和验方 《浙江天目山药用植物志》:“治关节疼痛:杠香藤枝叶、五加皮、钻地风各9~15g。水煎服。”

随便看

 

离鸟网收录3541549条中英文词条,其功能与新华字典、现代汉语词典、牛津高阶英汉词典等各类中英文词典类似,基本涵盖了全部常用中英文字词句的读音、释义及用法,是语言学习和写作的有利工具。

 

Copyright © 2004-2024 vtrois.com All Rights Reserved
更新时间:2026/4/18 9:47:03