网站首页  词典首页


请输入您要查询的字词:

 

字词 束联系数
类别 中英文字词句释义及详细解析
释义 束联系数

指测定两种品质间各分两类的品质相关的程度和方向的一种系数。

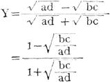
测定束联系数,首先要编制相联表*。束联系数Y的计算公式为:

束联系数的性质:(1)束联系数所在范围为-1≤Y≤1。(2)Y=正值时,表明两品质间有正相联;Y=负值时,表明两品质间有负相联。(3)Y的绝对值愈大,说明两品质间相联程度也愈大,其情况为:

Y=+1,两品质间有完全正相联;

Y=-1,两品质间有完全负相联;

Y=0,两品质间没有相联。

随便看

 

离鸟网收录3541549条中英文词条,其功能与新华字典、现代汉语词典、牛津高阶英汉词典等各类中英文词典类似,基本涵盖了全部常用中英文字词句的读音、释义及用法,是语言学习和写作的有利工具。

 

Copyright © 2004-2024 vtrois.com All Rights Reserved
更新时间:2026/4/20 14:45:29