网站首页  词典首页


请输入您要查询的字词:

 

字词 杆件的疲劳强度计算
类别 中英文字词句释义及详细解析
释义 杆件的疲劳强度计算

1.4.1 交变应力的基本概念

杆件的截面上随时间作周期性变化的应力称为交变应力。杆件在交变应力作用下出现的破坏现象,称为“疲劳”破坏。

(1)基本参数

图1.3-16所示为任意交变应力的σ-s曲线。交变应力的基本参数定义如下:

应力循环 应力重复一次的过程;

最大应力 应力循环中代数值最大的应力σmax

最小应力 应力循环中代数值最小的应力σminto

(2)基本类型

几种典型的交变应力如表1.3-21。

表1.3-21 几种典型的交变应力

表1.3-22 几种常用材料的持久极限与静荷极限应力的近似关系

❷ 构件尺寸的影响。实验表明,构件尺寸越大,持久极限越低。其影响用尺寸系数表示。即

❸ 构件表面状态的影响。主要影响因素有表面加工、表面腐蚀和表面强化。并以其影响最大者作为依据,用β表示。

对于构件表面强化影响,主要根据表面强化方法来确定。其表面强化系数β3见表1.3-23。

表1.3-23 表面强化系数β3

注1.氮化层厚为0.01d时用小值,在(0.03~0.04)d时用大值。

2.喷丸速度低时用小值,速度高时用大值。

3.未经强化时,o3=1。

4.高频淬火系用直径为10~20mm的试件测得的数据,对大直径试件强化效果稍低。

综合上述影响因素,构件的持久极限为

式中 εσ为尺寸系数;β为表面状态系数;Kσ为有效应力集中系数;σr为材料持久极限。

1.4.3 疲劳强度计算

(1)对称循环构件的强度计算

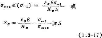
在弯曲或拉压交变应力作用下,构件材料的许用应力为

式中 S为规定的许用安全系数。

疲劳强度条件为:

当对称循环时,σmaxa,故有

式中 Sa为工作安全系数:σa为应力幅。

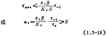
扭转交变应力的强度条件为;

(2)非对称循环构件的强度计算

当构件承受非对称循环交变应力时,一方面要进行疲劳强度计算,另一方面当出现σa与σm相比小得多的情况,即σmax与σmin比较接近;或者σa与σm数值相差不多的情况时,还需进行静应力强度校核。

疲劳强度条件:在弯曲或拉压交变应力作用下,强度条件为

在扭转交变应力作用下,强度条件为

式中 Sσ、Sr为工作安全系数;ψa、ψr为材料对应力循环不对称性的敏感系数或称等效系数,其值可由下式计算:

式中 Sσs、Srs为静强度工作安全系数;σs、τs为材料的屈服极限;S为许用安全系数。

(3)弯(或拉)扭组合交变应力的强度计算

塑性材料构件的疲劳强度条件

屈服强度条件

式中 Sσsts为静强度工作安全系数。

脆性材料或低塑性材料的构件,只进行疲劳强度计算,其强度条件为

随便看

 

离鸟网收录3541549条中英文词条,其功能与新华字典、现代汉语词典、牛津高阶英汉词典等各类中英文词典类似,基本涵盖了全部常用中英文字词句的读音、释义及用法,是语言学习和写作的有利工具。

 

Copyright © 2004-2024 vtrois.com All Rights Reserved
更新时间:2026/4/17 22:53:40