杆件的动应力强度计算
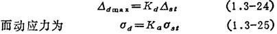
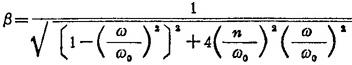
1.5.1 惯性力问题 杆件在一般加速度运动时,由惯性力引起杆件的动应力,用“动静法”求解。在此情况下,材料的机械性质的变化可忽略不计,强度计算与静载荷问题相同,因此,主要工作是求出杆件的最大动应力。 表1.3-24 几种由惯性力引起的动应力  式中 ,为动荷系数;A为振幅;△st为静位移。 由上式知,计算振动应力的关键是求动荷系数Kd。△st的计算可参见前面有关部分。振幅的计算  式中 H为干扰力的最大值:β为放大系数。  式中 n为阻尼系数;ω为干扰力频率;ω0为杆件的固有频率。 对一个自由度的杆的纵向振动  对一个自由度的梁的横向振动  对一个自由度圆轴的扭转振动  一个自由度杆件的纵向或横向振动,其动荷系数Kd由上述关系可推出如下形式:  |