网站首页  词典首页


请输入您要查询的字词:

 

字词 木鳖根
类别 中英文字词句释义及详细解析
释义 木鳖根

【概况】:

基源 为葫芦科苦瓜属植物木鳖子的块根。

原植物 木鳖子Momordica cochinchinensis(Lour.)Spreng.

余项参见“木鳖子”条。

【生药】:

鉴别 根极粗壮,直径8~18cm;带皮者表面浅棕黄色,微粗糙,有较密的椭圆形皮孔,去皮者表面色稍浅,断面浅黄灰色。

质较松,粉性差,纤维极多,横断面韧皮部有多层横向颓废筛管层纹,木部有较密的棕黄色导管小孔。味苦。

。【化学】:

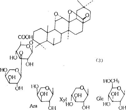
含多种三萜皂甙有木鳖子甙(Momordin)Ⅰ(1)、Ⅱ(2)、Ⅲ(3)、Ⅰa(4)、Ⅰb(5)、Ⅰc(6)、Ⅰd(7)、Ⅰe(8)、Ⅱa(9)、Ⅱb(10)、Ⅱc(11)、Ⅱd(12)、Ⅱe(13)[1,2]

还含防己内酯(Columbin)[3]、菠菜甾醇、木香醇(Castol)[4]

R1 R2 R3 R4

(1) H Ara H H

(2) H Ara H Glc

(4) H Ara CH3 H

(5) H H H H

(6) H xyl H H

(7) xyl xyl H H

(8) xyl Ara H H

(9) H Ara CH3 Glc

(10) H H H Glc

(11) H xyl H Glc

(12) xyl xyl H Glc

(13) xyl Ara H Glc

木鳖根还含二萜苦味素防己内酯(Columbin)[3]、菠菜甾醇、木香醇(Casto1),茎皮含生物碱[4]

参考文献 [1]Chcm Pharm Ball 1985;33(1)∶1 [2]Phytochemistry 1988;27(11)∶3585 [3]Planta Med 1985;51(2)∶181 [4]Planta Med 1987∶53(6)∶578

【药性】:

性味 苦、微甘,寒。

功效 消炎解毒,消肿止痛。

主治 痈疮疔毒,无名肌毒,淋巴结炎。

。【临床应用】:

单方应用 《全国中草药汇编》:“治痛疮疔毒,无名肿毒,淋巴结炎,粉刺,雀斑:木鳖子鲜根,加盐少许捣烂敷患处。”

随便看

 

离鸟网收录3541549条中英文词条,其功能与新华字典、现代汉语词典、牛津高阶英汉词典等各类中英文词典类似,基本涵盖了全部常用中英文字词句的读音、释义及用法,是语言学习和写作的有利工具。

 

Copyright © 2004-2024 vtrois.com All Rights Reserved
更新时间:2026/4/19 3:24:31