网站首页  词典首页


请输入您要查询的字词:

 

字词 木鳖子
类别 中英文字词句释义及详细解析
释义 木鳖子

【名称出处】:《开宝本草》

【概况】:

异名 木鳖(《开宝本草》),土木鳖(《医宗金鉴》),壳木鳖(《药材资料汇编》),漏苓子(《中药志》),地桐子、藤桐子(《中药材手册》),鸭屎瓜子(《药材学》),木鳖(《中国民族药志》)。

基源 为葫芦科苦瓜属植物木鳖子成熟的种子。苦瓜属全世界约40种,中国约6种。

原植物 木鳖子Momordica cochinchinensis(Lour)Spreng,,又名木鳖藤,棵拉望、棵墨别、黑句、泒丕(壮族名),峒冻、吉辣岗、拪拉冬(毛难族名),再维污、孜武(苗族名),阿拉坦其其格(蒙名),瓜挪、孟呀(仫佬族名),杜表、病互(瑶族名)。

历史 木鳖子为少常用中药,始载宋《开宝本草》:“其核似鳖蟹状,故以为名。”《图经本草》载:“今湖、广诸州及杭、越、全、岳州皆有之。春生苗作蔓,叶有五花(桠)状如山药,青色面光。

四月生黄花。六月结实,似栝楼而极大,生青、熟红,肉上有刺,其核似鳖故以为名,每一实有核三四十枚,八九月采。

”按上记述同目前使用的商品木鳖子原植物基本一致。

清《本草求真》曾记:“木鳖本有二种,一名土鳖有壳,一名番木鳖无壳。”此系与马钱科植物马钱子相混所致。明《纲目》马钱子附图也与本品相混淆,有人推说李时珍当时未见到马钱子原植物之故。

本品《中国药典1990年版》收载。

形态 多年粗壮草质藤本,长4~15cm。块根粗壮,近圆柱形,稍有分枝,浅黄棕色。茎几无毛,有棱线。卷须粗壮,单一。叶柄长5~10cm,中部以下有2~4个腺体;叶片卵状心形,3~5中裂或不分裂,长宽均8~20cm,边缘有波状小齿。雌雄异株;雄花单生叶腋或3~4朵成总状花序,花梗长6~12cm,顶端有1圆肾形苞片,长3~5cm,宽5~8cm,有缘毛,萼筒漏斗状,具暗紫黑条纹,花冠浅黄色,钟状,直径约6cm,雄蕊3,花丝极短,有2个蜜囊;雌花花冠裂片近等大,子房下位。果实卵状球形,长12~15cm,直径8~9.5cm,橙黄色,有刺状突起;果柄长7~10cm。

种子大,似鳖甲状。花果期5~11月。(图见《中药志》,第3册,第2版,224页,图147)

生境与分布 生于海拔450~1100m的山沟、林缘及路旁。分布于长江流域以南。

中南半岛和印度也有分布。。

【生药】:

栽培 宜温暖湿润气候,需光,怕水涝。

需选肥沃深厚、排水良好的壤土栽种。用种子和根头繁殖,种子在3~4月播种,按行株距各1.7~2cm开穴,穴深10~13cm,直径约33cm,先施堆肥和人畜粪水,上覆一层薄土,然后每穴播种子4~5粒,再盖土3~5cm。

于初冬或早春,将雌株及雄株挖起,切取根头;并按其芽数再切成小块,每块有芽1~2个,将这雌雄株根头分别放置,以备栽种。

种植密度与种子繁殖相同,雌雄株搭配栽植,以利传粉。雌雄株的比例为20~30:1。生长期间,注意中耕除草,每年追肥3次。

当苗高70cm时,搭设棚架,引蔓上架生长。冬季修剪藤蔓。

采集 9~11月采摘成熟果实,剖开,晒至半干,剥取种子。

或将果实放入盆钵中,拌与草木灰,待果肉烂去,用清水淘洗,除去瓤肉及外膜,取出种子,晒干或烘干。

药材主产湖北、广西、四川等地。

鉴别

性状 种子扁平圆板状或略三角状,两侧多少不对称,中间稍隆起或徽凹下,长2~4cm,宽1,5~3.5cm;厚约5mm;表面灰棕色至棕黑色,粗糙,有凹陷的网状花纹或仅有细皱纹,周边有十数个排列不规则的粗齿,有时波状,种脐端稍窄缩,端处近长方形。

外壳质硬而脆,内种皮甚薄,其内为二片肥大子叶,黄白色,富油质。有特殊的油腻气,味苦。以饱满、外壳无破裂、种仁色黄白者为佳。

显徽 横切面:种皮表皮细胞一列,近长方形,常径向延长,表皮下为3~4列薄细胞,近方形或矩圆形,排列整齐;内侧为十数层厚壁细胞,大而壁极厚,边缘波状,层纹较明显;其内为3~4列长方形或长圆形薄壁细胞,壁常呈波状,种子两侧的壁渐增厚,至两端处壁增厚成纵向延长的石细胞,横切面呈圆形。

胚乳细胞2至多列,有的已颓废。子叶薄壁组织中充满糊粉粒。

(图见《中药志》,第3册,第2版,图148) 粉末:灰棕色,气特殊,油腻,味微苦。 ❶ 种皮表皮细胞断面观略呈栅状,外被角质层,细胞长65~120μm,宽37-92μm,侧壁徽弯曲或波状弯曲;表面观呈多角形或类方形。

❷ 种皮下皮细胞2~4列,壁厚,胞腔内含灰棕色物。
❸ 星状厚壁细胞为外种皮通气组织,细胞不规则分枝似星状,连结成团,直径13~40μm,分枝长短不一,壁厚5~12μm,木化,胞腔不规则,有孔沟。
❹ 石细胞(为外种皮内表皮细胞)形大,与星状细胞连接。长85~162μm,直径34~80μm,壁波状弯曲,厚9~25μm,层纹清晰。

另可见内种皮星状细胞及子叶细胞。(图见《中药材粉末显徽鉴别》,图249)

加工炮制 常用炮制品有木鳖子和木鳖子霜。

❶ 木鳖子 取原药材,除净杂质,筛去灰屑。

❷ 木鳖子霜 取净木鳖子去壳取仁,炒干,碾末,用草纸包裹数层,外加麻绳扎紧,压榨去油,反复多次,至草纸不再现油迹,色由黄变灰白色,呈现松散状时,研细。

此外,尚有炒制、煨制、烫制等炮制方法。

贮藏 置干燥处。木鳖子霜,密闭,置于阴凉干燥处。

。【化学】:

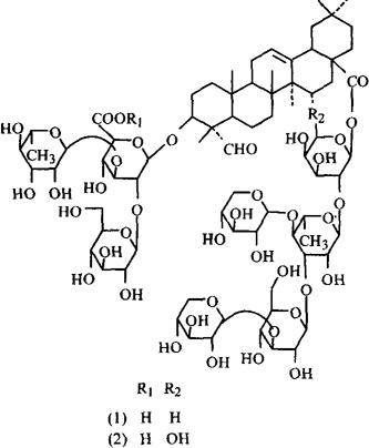
种子含由丝石竹皂甙元(Gypsogenin)构成的皂甙苦瓜皂甙I(Momordica saponin I)(1)和由皂树酸(Quillaic acid)构成的皂甙苦瓜皂甙Ⅱ(Momordica saponin Ⅱ)(2),在植物体内以羧酸盐形式存在[1]

另含菠菜甾醇、齐墩果酸、木鳖子酸(Momordic acid)、α-桐酸(α-Eleosteaxic acid)、栝楼酸、海藻糖(Mycose)、脂肪油35.72%和蛋白质30.59%,及有钝化核蛋白体活性的蛋白质(Momorcochins)[2]

参考文献 [1]Chem Pharm Bull 1985;33(2):464 21CA 1990;112:72607m

【药理】:

木鳖子中皂甙给大鼠ig或sc,能抑制角叉菜胶性足踝肿胀。

有溶血作用。抑制离体蛙心、短暂的扩张血管,给动物注射则引起血压下降;对豚鼠回肠有收缩作用。小鼠iv LD50为32mg/kg,ip为37mg/kg。

参考文献 药学杂志(日)1971;91(2):174。

【药性】:

性味 苦、微甘,温。

有毒。 《开宝本草》:“甘,温。”

归经 肝、脾、胃经。

❶ 《得配本草》:“入手阳明经。”
❷ 《本草再新》:“入脾、肾二经。”
❸ 《本草撮要》:“入足厥阴经。”
❹ 《中草药学》:“入大肠经。”

功效 散结消肿,解毒生肌。

主治 痈肿,疔疮,瘰疬,痔疮,无名肿毒,癣疮,风湿痹痛,筋脉拘挛。

❶ 《日华子本草》:“醋摩消肿毒。”
❷ 《开宝本草》:“主折伤,消结肿恶疮,生肌,止腰痛,除粉刺黯,妇人乳痈,肛门肿痛。”
❸ 《纲目》:“治疳积痞块,利大肠泻痢,痔瘤瘰疬。”
❹ 《本草备要》:“泻热,外用治疮。利大肠,治泻痢,疳积,瘰疬,疮痔,乳痈,蚌毒。消肿追毒,生肌除黯。

❺ 《本草求原》:“治一切寒湿郁热而为痛风瘫痪,行痹,痿厥,脚气,挛症,鹤膝。”
❻ 《全国中草药汇编》:“化脓性炎症,乳腺炎,淋巴结炎,头癣,痔疮。”

用法用量 内服:多入丸、散;煎汤,0.6~1.2g。

外用:研末调敷、磨汁涂或煎水熏洗。

使用注意 孕妇及体虚者忌服。

❶ 《本草汇言》:“胃虚、大肠不实、元真亏损者,不可概投。”
❷ 《医林纂要》:“忌猪肉。”
❸ 《中草药学》:“以外用为主,内服宜慎。”

【临床应用】:

配伍应用 ❶ 配厚桂,治脚气肿痛。

❷ 配荆芥、朴硝治痔疮。
❸ 配川大黄末,治两耳肿热痛。
❹ 配芙蓉末,治阴疝偏坠痛。
❺ 配独蒜、雄黄,治痞癖。

❻ 配穿山甲,治疟母。

方选和验方 ❶ 神效千捶膏(《医宗金鉴》)治疮疡,疔毒初起,瘰疬,臁疮,小儿蟮拱头:土木鳖(去壳)5个,白嫩松香(拣净)120g铜绿(研细)3g,乳香、没药各6g,蓖麻子(去壳)21g,巴豆肉5粒,杏仁(去皮)3g。上8味合一处,石臼内捣3千余下,即成膏。取起,浸凉水中,同时随疮大小,用手搓成药片,贴疮上,用绢盖之。

❷ 乌龙膏(《医宗金鉴》)治一切诸毒红肿赤晕不消者:木鳖子(去壳)60g,草乌15g,小粉120g,半夏60g。上4味于铁铫内慢火炒焦,黑色为度,研细,以新汲水调敷,1日1次,自外向里涂之,须留疮顶,气出毒气。
❸ 木鳖膏(《仁斋直指方》)治瘰疬发歇不已,脓血淋漓:木鳖仁2个,厚纸拭去油,研碎,以乌鸡子调和,瓷盏盛之,甑内蒸熟。每日食后服1次,服半月。

❹ 木鳖子膏(《百一选方》)治经络受风寒邪气,筋脉牵连,皮肤疼痛,结聚成核,拘挛麻痹:木鳖子30g(去皮,锉如小豆大,用清油60ml,浸1宿,然后慢火熬及一半以后,取出木鳖子,下黄蜡3g(别研细,等木鳖油与蜡相次欲凝,急投入油内,不住手搅匀)。上以瓷器收,每用少许,擦肌肉皮肤疼痛聚硬处,不住手,以极热为度。

❺ 木鳖裹方(《圣济总录》)治打扑损伤瘀血不散疼痛:木鳖子(去壳研)15g,桂(去粗皮)1g,芸苔子(酒浸研)6g,丁香50粒。上4味,将丁香、桂为末,与研者2味和匀,次用生姜汁煮米粥摊纸上,将药末掺入粥内,看冷热裹之,1日1换。
❻ 木鳖子丸(《杨氏家藏方》)治小儿痢,肠滑脱肛:沉香6g,枳壳15g(麸炒去瓤),五灵脂15g(微炒),木鳖子(连壳)15g(去壳用)。上前3味为细末,次入木鳖子同研细,醋煮面糊为丸,如黍米大。

3岁儿每服30丸,醋调清茶送下,乳食前。
❼ 木鳖散(《中药大全》)治急性咽喉炎,扁桃体炎,咽喉肿痛者:木鳖子6g,山豆根6g,广木香6g。

为末吹咽喉部。
❽ 《永类钤方》:“治脚气肿痛:木鳖子仁,每个作两边麸炒过,切片再炒,去油尽为度,每30g入厚桂15g,为末,热酒服6g,令醉得汗。”
❾ 《本事方》:“治脚气肿痛,肾脏风气,专注下部疮痒:甘遂15g,木鳖子4个,为末。猪腰子1个,去皮膜,切片,用药12g,掺在内,湿纸包煨熟,空腹食之,米饮下,服后便伸两足,大便行后,吃白粥二三日。


❿ 《全国中草药汇编》:“治酒齇(音楂)鼻,顽癣、湿疹:木鳖子、大风子、胡桃仁、樟脑,水银、蛇床子各9g,将木鳖、大风子去壳取仁,同其它药共捣为泥,以水银不见星为度。患处先用花椒15g,艾叶30g,洗净待干后,将上药薄薄涂上一层,每日1~2次。” ⑾《圣惠方》:“治两耳卒肿痛:木鳖子仁30g(研如膏),赤小豆末15g,川大黄末15g,合研,水、生油旋调涂之。” ⑿《普济方》:“治痔疮:荆芥、木鳖子、朴硝各等份,煎汤,入于瓶内,熏后,汤温洗之。” ⒀《寿域神方》:“治阴疝偏坠痛甚:木鳖子1个磨醋,调黄柏、芙蓉末敷之。” ⒁《普济方》:“木鳖膏治痞癖:木鳖多用(去壳),独蒜1.5g,雄黄1.5g。共杵为膏,入蜡少许,蜡纸贴患处。” ⒂《医方摘要》:“治疟母:木鳖子、穿山甲等份为末,每服9g,空腹温酒下。”

单方应用 ❶ 《全国中草药汇编》:“治头癣:木鳖子仁适量,研细末,用醋调匀涂患处。”
❷ 《外科精义》:“治小儿丹瘤:木鳖子新者去壳,研如泥,淡醋敷之,1日3~5次。”
❸ 《孙天仁集效方》:“治倒睫毛,风痒,赤烂:木鳖子捶烂,以丝帛包作条,左患塞右鼻,右患塞左鼻,次服蝉蜕为妙。”
❹ 中医杂志 1966;(4):“外用治疗牛皮癣、干癣,秃疮:将木鳖子去外壳,蘸醋在粗瓷器上(去碗底)磨取药汁,临睡前用棉花或毛笔蘸患处,每日或隔日1次。涂药前患处先用盐水洗净,癣病蔓及周身者可分期分批治疗。一般3g木鳖子仁需10ml醋研磨,其药汁可涂3×2cm癣面5~7处。”
❺ 基层中药杂志 1988;(2):“治髂窝深部脓肿:木鳖子5个(去壳后研碎),大黄6g,当归12g,炮甲9g,二丑6g(研碎),僵蚕6g(炒黄)。煎服。”。【医药家论述】:

❶ 缪希雍《本草经疏》:“木鳖子为散血热,除痈毒之要药。夫结肿恶疮,粉刺,肛门肿痛,女子乳痈等证,皆血热所致,折伤则血亦瘀而发热。甘温能通行经络,则血热散,血热散则诸痛症无不瘳矣。其止腰痛者,指湿热客于下部所致,而非肾虚为病之比也,用者详之。

”“味虽甘而气则大温,《本经》虽云无毒,然亦未免有毒,但宜外用,勿宜内服。”
❸ 张景岳《本草正》:“木鳖子,有大毒,《本草》言其无毒,谬也,今见毒狗者,能毙之于倾刻,使非大毒而有如是乎?人若食之,则中空发噤,痈,痔漏肿痛及喉痹肿痛,因此醋漱于喉间,引痰吐出,以解热毒,不可咽下。或同朱砂、艾叶卷筒熏疥,杀虫最效,或用熬麻油,擦癣亦佳。

随便看

 

离鸟网收录3541549条中英文词条,其功能与新华字典、现代汉语词典、牛津高阶英汉词典等各类中英文词典类似,基本涵盖了全部常用中英文字词句的读音、释义及用法,是语言学习和写作的有利工具。

 

Copyright © 2004-2024 vtrois.com All Rights Reserved
更新时间:2026/4/19 15:23:29