网站首页  词典首页


请输入您要查询的字词:

 

字词 木片长度与纤维长度的相互换算
类别 中英文字词句释义及详细解析
释义 木片长度与纤维长度的相互换算

【说明】在备料过程中,由于木片两端被切割,使纤维平均长度相应减短。经实验可知,较短的木片(如小于25mm),其所制纸浆的纤维平均长度明显减短;而较长的木片(如大于30mm),其纤维平均长度增长也不明显,因此,必须从生产和工艺等方面考虑,确定合理的木片长度。因纸浆纤维长度与多种因素有关,因而本计算法为一近似值,但与测定值基本是吻合的。

【公式】

式中 m——蒸煮后纸浆的纤维长度(mm)

M——蒸煮前原料的纤维长度(mm),可取各种木材原料的纤维长度的平均值,常见木材纤维的平均长度见表1-1-2

L——木片长度(mm)

表1-1-2 常见木材纤维的平均长度

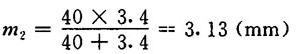
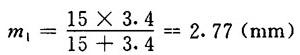
【例】某厂用杉木制浆,原料的纤维平均长度为3.4mm,计算:(1)当木片长度分别为15mm和40mm时,纸浆的平均纤维长度;(2)若单纯从原料的角度考虑,欲获得纸浆的最长纤维长度,木片的长度应为多少?

解:
❶ 根据m=

当木片长度为15mm时,纸浆的纤维长度

当木片长度为40mm时,纸浆的纤维长度

经实验知.这两种情况下的实测值分别为2.801和3.055,为此,结果比较接近。

❷ 从式L=可看出,m≤M,即m≤3.4mm,现假设纸浆纤维平均长度m=3.3mm为最大,则木片的长度为:

实验也证明.当木片长度大于120mm时,纸浆的纤维长度几乎不受影响。

其计算值与实测值结果对比见表1-1-3。

表1-1-3 木片(杉木)长度与纸浆纤维长度对比 (mm)

随便看

 

离鸟网收录3541549条中英文词条,其功能与新华字典、现代汉语词典、牛津高阶英汉词典等各类中英文词典类似,基本涵盖了全部常用中英文字词句的读音、释义及用法,是语言学习和写作的有利工具。

 

Copyright © 2004-2024 vtrois.com All Rights Reserved
更新时间:2026/4/21 18:59:32