网站首页  词典首页


请输入您要查询的字词:

 

字词 木片水分的测量计算
类别 中英文字词句释义及详细解析
释义 木片水分的测量计算

1.电容式水分测量仪的计算

❶ 电容量与介电常数的关系

[说明]这种仪表的测量原理是依据测量电容器电容量C与存在于或穿过两个电容器极板之间物质的介电常数值的关系。对于平板电容器来说,二者的关系如下。

式中 C——电容器的电容量(微微法)

K——取决于电极形式的常数

t——介电常数,绝干木材为2~3;水为81

S——极板面积(cm2)

d——两极板间距(cm)

❷ 木片体积的松积重量的测量计算

[说明]由于单位体积内水分含量是由它的填充密度,即其饱和重量来决定的,而饱和重量在很大范围内波动,因而引起被测电容器电容量的相应变化。因此,为了得到这种仪表足够的精确度需根据木片料层的密度(饱和重量)来校正水分的测量结果。为了得到正确的校正结果,必须同时测量同一木片体积的松积重量和水分。在所有木片水分测量仪的工作中,松积重量是用γ-射线密度计来测量的,其工作原理是:当γ-射线穿过某一物质,该射线就减弱,可用下式表示。

式中 I——穿过试样的射线强度

I9——射源的射线强度

l——被穿透的料层厚度(cm)

d——平均密度(g/cm3)

k——吸收γ-射线的系数(cm2/g)

[讨论]由于无论是在绝干木片或是在含水分的木片中,γ-射线在穿过木片时都被吸收,而在木片中的空气对γ-射线的吸收可以忽略,为此,上式可变成:

式中 kA.lA.dA——分别为绝干木片吸收γ-射线的系数,木片料层厚度和木片的平均密度(单位同上),对木片的吸收系数

kA=0.0679cm2/gkB.lB.dB——分别为木片中水分吸收γ-射线的系数(kB=0.0728cm2/g)、水层厚度及水的密度(单位同上)

2.微波(超高频)测量仪的计算

❶ 介电损耗的计算

[说明]在这类测量仪中,采用了频率为几千兆周的射线,当这种射线穿过某一物质时,在该物质中的介电损耗N就可由下式计算。

式中 k——系数

m——由射线穿过的物质质量

ω——角频率

E——电场强度

ε——介电常数

δ——损耗角

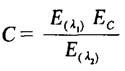
❷ 总水量与相对水分值间的换算

[说明]因为运输带上的木片数量即木片含有的总水量是不固定的,那么为了把所得到的总水量Wc的值换算为相对的水分值W%,就必须测量在测量水分范围内木片试样的饱和重量rH,这点是用γ-射线密度计来实现的

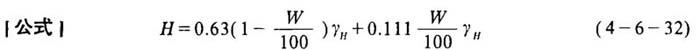
3.放射性测量仪的测量计算

❶ 氢密度的计算

[说明]放射性式测量仪的原理是:某一射源放出的快速中子,当它与具有接近中子质量的物质的粒子(其中包括氢原子)发生碰撞时,其本身速度消失并且突然变成慢速(热的)中子。当发生碰撞时所形成的慢速中子的数量与被透射的物料中氢原子的含量成比例。木片中氢的数量包括木材本身成分中氢的量,平均为63%(其中包括纤维素中的氢6.2%和木素中的氢6~7%)及其水分中的氢含量11.1%,因此,湿木材的“氢密度”H可计算如下。

式中 W——木片水分(%)

γH——平均密度(饱和重量)(g/cm3)

❷ 木片水分计算

式中符号含义及单位同上

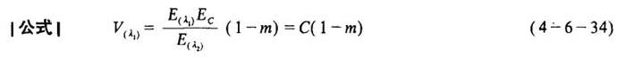
4.近红外线两波长反射式木片水分计的测量计算

[说明]近红外线两波长反射吸收式木片水分计具有不受容积影响,精度高和安装容易等特点,只要得出放大器输出端的内部水分吸收波长就可求出水分吸收率,即可以求出水分率(与水分成比例)

式中 V(λ1)——放大器输出端的内部水分吸收波长的信号

E(λ1)——由灯射向滤光器被水分吸收的波长的能量

E(λ2)——参比波长的能量

Ec——比较回路的比较电压

C——常数

m——水分吸收率(与水分成比例)

随便看

 

离鸟网收录3541549条中英文词条,其功能与新华字典、现代汉语词典、牛津高阶英汉词典等各类中英文词典类似,基本涵盖了全部常用中英文字词句的读音、释义及用法,是语言学习和写作的有利工具。

 

Copyright © 2004-2024 vtrois.com All Rights Reserved
更新时间:2026/4/19 17:39:35