网站首页  词典首页


请输入您要查询的字词:

 

字词 期首付终身年金保险趸交纯保费计算
类别 中英文字词句释义及详细解析
释义 期首付终身年金保险趸交纯保费计算

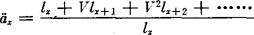
寿险计算方法。公式(以各期领1元为基数):

将分子分母各乘Vx则:

假设:

Nx=Dx+Dx+1+Dx+2+……

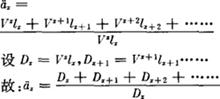
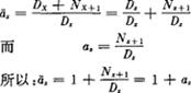
故:

又因为:

äx代表期首付终身年金保险每年1元的现值。(年金支付一直到被保险人死亡时为止)。V为贴现因子(1+i)-1,lx为死亡表中生存至x岁的人数。Dx、Nx常被称为寿险精算换算符号。

随便看

 

离鸟网收录3541549条中英文词条,其功能与新华字典、现代汉语词典、牛津高阶英汉词典等各类中英文词典类似,基本涵盖了全部常用中英文字词句的读音、释义及用法,是语言学习和写作的有利工具。

 

Copyright © 2004-2024 vtrois.com All Rights Reserved
更新时间:2026/4/17 21:27:09