网站首页  词典首页


请输入您要查询的字词:

 

字词 期首付固定年金现值计算
类别 中英文字词句释义及详细解析
释义 期首付固定年金现值计算

年金计算方法。其与期末付固定年金现值计算不同之处仅在于:在每期期首领取款项。其第一期领取之款项无利息,计息期为n-1年。故可根据期末付固定年金现值公式导出其公式:

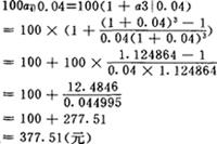
其中R=每期领取金额,为期首付1元固定年金现值,n为时期,=期末付1元固定年金现值,i=利率,例如:某人计划在4年内每年年初支取100元,如按年复利4%计息,问在现在应存入银行若千元?根据公式:

随便看

 

离鸟网收录3541549条中英文词条,其功能与新华字典、现代汉语词典、牛津高阶英汉词典等各类中英文词典类似,基本涵盖了全部常用中英文字词句的读音、释义及用法,是语言学习和写作的有利工具。

 

Copyright © 2004-2024 vtrois.com All Rights Reserved
更新时间:2026/4/19 14:41:36