网站首页  词典首页


请输入您要查询的字词:

 

字词 期间
类别 中英文字词句释义及详细解析
释义 期间

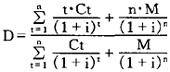
以债券的现金流量(各期利息收入+本金)现值为权数的债券偿还期的度量。实质上是加权平均的债券投资回收期。其公式为:

式中,D为期间;Ct为各期利息支付;i为贴现率,一般取债券的到期收益率;n为偿还期;M为偿还价格。

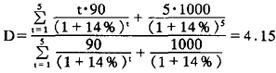
回收期长短取决于债券偿还期、票面利率、偿付性条款、市场收益率等因素。零息债券是一次性支付的证券,即Ct=0,其回收期等于偿还期。若某5年期债券年息为9%,一年付息一次,面值为1000,到期收益率为14%,则期间:

期间可作为衡量债券风险程度的一种指标,期间越短,风险越低,反之亦然。

随便看

 

离鸟网收录3541549条中英文词条,其功能与新华字典、现代汉语词典、牛津高阶英汉词典等各类中英文词典类似,基本涵盖了全部常用中英文字词句的读音、释义及用法,是语言学习和写作的有利工具。

 

Copyright © 2004-2024 vtrois.com All Rights Reserved
更新时间:2026/4/19 3:59:28