网站首页  词典首页


请输入您要查询的字词:

 

字词 期望寿命
类别 中英文字词句释义及详细解析
释义 期望寿命

期望寿命是以某年度的年龄组死亡率为基准,估计一个人指望活多久的年数的平均值。

平均预期寿命是生命表中的一项重要指标。

各年龄组的平均寿命是指一批人活到实足年龄x岁后,平均还能继续生存的年数。

新生婴儿的平均寿命是表示一批人出生后,平均一生可以存活的年数,也就是假设有10万人同时出生,若把这10万人每一年到下一年所活的人年数加起来,除以10万,就成了出生时的平均预期寿命。

由于生命表带有似定性,它是假定一批人在所在的国家或地区按当时的社会经济、科学技术、环境与卫生条件,按照编表这一年的分年龄死亡率去度过生命历程。

例如,中国女性人口1978年的平均寿命是69.55岁,并不是说1978年出生的中国女孩,将来就真的平均活69.55岁,而是假定1978年出生的中国女孩,按这一年的分年龄死亡率去度过生命历程,则平均寿命是69.55岁。事实上并没有真正的一批人会经历生命表中各年龄的死亡率的。

一般说来,年龄越高,平均预期寿命就越短。但是在编制生命表时,我们往往会看到:1岁组甚至2岁组的平均寿命高于0岁组,这种现象称为平均预期寿命的矛盾现象。

其原因是由于婴儿出生时有较高的死亡可能性,或某种原因造成婴儿死亡率资料不准确所造成的。

预期寿命中位数也是反映人口平均寿命长短的一个指标。

其含义是指一批人活到x岁后,今后再减少一半人所需要的年数。0岁组的预期寿命中位数有特殊的意义:它是指刚出生的一批人活到多少年后还剩一半人。

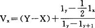
预期寿命中位数的计算公式是:

式中Vx是x岁的预期寿命中位数,y是生命表中略大于的尚存人数所对应的整数年龄,1y是略大于的尚存人数,1y+1是y+1岁对应的尚存人数。

例:根据某地1981年女性人口生命表计算0岁组的预期寿命中位数:

即根据1981年的死亡率水平,该地新出生的女婴儿将有一半的人可以活到73.27岁。

随便看

 

离鸟网收录3541549条中英文词条,其功能与新华字典、现代汉语词典、牛津高阶英汉词典等各类中英文词典类似,基本涵盖了全部常用中英文字词句的读音、释义及用法,是语言学习和写作的有利工具。

 

Copyright © 2004-2024 vtrois.com All Rights Reserved
更新时间:2026/4/19 11:33:59