网站首页  词典首页


请输入您要查询的字词:

 

字词 服务水平
类别 中英文字词句释义及详细解析
释义 服务水平

物资库存服务系统中,不发生缺货的概率,称服务水平或服务水准。服务水平通常可用一个供应周期内,不发生缺货的时间与周期时间的比值来计算。

确定型模型Ⅲ的服务水平:

确定型模型Ⅳ的服务水平:

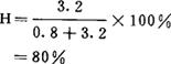
对于上述两个模型,经过简单的换算,其服务水平均可用下式计算:

例:确定型模型Ⅲ例中,其服务水平为:

〔参〕确定型存贮模型Ⅲ 确定型存贮模型Ⅳ

随便看

 

离鸟网收录3541549条中英文词条,其功能与新华字典、现代汉语词典、牛津高阶英汉词典等各类中英文词典类似,基本涵盖了全部常用中英文字词句的读音、释义及用法,是语言学习和写作的有利工具。

 

Copyright © 2004-2024 vtrois.com All Rights Reserved
更新时间:2026/4/19 18:06:40