网站首页  词典首页


请输入您要查询的字词:

 

字词 有限差分法
类别 中英文字词句释义及详细解析
释义 有限差分法

主要是用于求偏微分方程的数值解。

解题步骤大致如下:

(1)在定解区域G上进行网格剖分,即用平行于坐标轴的直线将G分成许多小区域,这些线的交点称为网格结点,数值解就是求微分方程的解在结点上的近似值。

(2)用差商代替微商,将微分方程用差分方程代替。

(3)解差分方程。

例1.考虑拉普拉斯方程第一边值问题:

这里P是单位正方形的边界。

采用正方形网格,结点(xi,yj),简记为(i,j),

Xi=ih, yj=jh

称为步长,用uij表u(xi,yj)的近似值,记

利用,代入(1)。即得差分方程组:

ui,j-1+ui-1,j+ui+1,j+ui,j+1-4ui,j=0 (2)

i,j=1,2,…,n-1。

其中边界点u0,j,uu,j,ui,0,ui,n可由相应的φ值给出,组(2)的未知量是{ui,j},i,j=1,2,…,n-1,它可由一般迭化法或超松弛迭代法求解之。

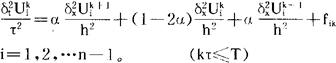
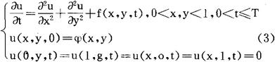
例2.考虑二维热传导方程:

取定时间步长为τ,x与y方向的步长为,记u在结点(xi,yj,tk)=(ih,jh,kτ)的近似值为u,(i,j=0,1,…,n,kτ≤T),

由(3)知:,其余的可逐层解出,即若已知u在t=tk层的值,则在t=tk+1层上的值可由下列差分格式求出:

这里需解方程组求出。

此格式分为两步,首先按(4),固定j=j0(j0=1,2…,n-1),求出过渡层上的,然后按(5),固定i=i0(i0=1,2,…,n-1),求出t=tk+1层上的;在每一步上,只需求解三对角系数矩阵的方程组。

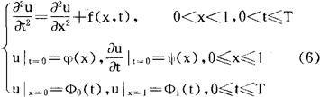
例3.考虑波动方程:

取时间步长为τ,x方向的步长为,记为u在结点(xi,tk)=(ih,kτ)处的近似值。

由已知条件知:;将用差商代替可得,假设已求出了u在t=tk-1及t=tk层的值,则t=tk+1层上的值,通常可由下列Von-Neumann 格式求出:

记λ=τ/h,当1/4≤α≤1时,λ可任意取值,当时,λ必须满足不等式。特别取α=0时称为显格式。

时,称为隐格式。

随便看

 

离鸟网收录3541549条中英文词条,其功能与新华字典、现代汉语词典、牛津高阶英汉词典等各类中英文词典类似,基本涵盖了全部常用中英文字词句的读音、释义及用法,是语言学习和写作的有利工具。

 

Copyright © 2004-2024 vtrois.com All Rights Reserved
更新时间:2026/4/19 9:53:05