网站首页  词典首页


请输入您要查询的字词:

 

字词 有理数除法法则
类别 中英文字词句释义及详细解析
释义 有理数除法法则

除以一个数等于乘以它的倒数.

注意 1.0不可以作除数.

2.0除以任何一个不等于0的数都等于0.

3.运用除法法则,把除法转化成乘法运算,再用乘法法则计算.

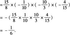
例1 计算

解 原式

[解析] 乘除混合运算,先统一化为乘法来计算,不易出错.

随便看

 

离鸟网收录3541549条中英文词条,其功能与新华字典、现代汉语词典、牛津高阶英汉词典等各类中英文词典类似,基本涵盖了全部常用中英文字词句的读音、释义及用法,是语言学习和写作的有利工具。

 

Copyright © 2004-2024 vtrois.com All Rights Reserved
更新时间:2026/4/18 8:28:17