网站首页  词典首页


请输入您要查询的字词:

 

字词 有理数加法法则
类别 中英文字词句释义及详细解析
释义 有理数加法法则

同号两数相加,取相同的符号,并把绝对值相加;异号两数相加,绝对值相等时和为0,绝对值不相等时,取绝对值较大加数的符号,并用较大的绝对值减去较小的绝对值.

一个数同0相加,仍得这个数.

注意 1.互为相反数的两数相加和为0.

2.在有理数加法运算中,加法交换律和结合律仍然成立.

3.运用有理数加法法则,分两步.第一步是确定符号,第二步是确定绝对值.

例1 小明的爸爸买了一种股票,每股8元,下表记录了在一周内该股票的涨跌情况:

(注:用正数记股价比前一日上升数,用负数记股价比前一日下降数)

该股票这星期中最高价是__.

答 8.55元.

[解析] 8+0.2+0.35=8.55

例2 观察下列数表:

根据数表反映的规律,猜想第6行与第6列的交叉点上的数应为__,第n行与第n列的交叉点上的数应为__(用含正整数n的式子表示).

答 11,2n-1.

[解析] 通过观察发现,交叉点上的数=行数+列数-1=6+6-1=11.

交叉点上的数=行数+列数-1=n+n-1=2n-1.

本题考查学生分析、推理、归纳、猜想的能力.

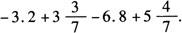
例3 用简便方法计算

解 原式

[解析] 加法交换律和结合律的合理运用,可以简化计算.

随便看

 

离鸟网收录3541549条中英文词条,其功能与新华字典、现代汉语词典、牛津高阶英汉词典等各类中英文词典类似,基本涵盖了全部常用中英文字词句的读音、释义及用法,是语言学习和写作的有利工具。

 

Copyright © 2004-2024 vtrois.com All Rights Reserved
更新时间:2026/4/20 11:40:21