有理数乘法法则
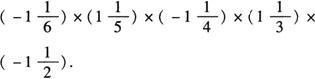
两数相乘,同号得正,异号得负,绝对值相乘.任何数与0相乘,积仍为0. 注意 1.几个有理数相乘,因数都不为0时,积的符号由负因数的个数决定.当负因数有奇数个时,积为负;当负因数有偶数个时,积为正.积的绝对值等于各个因数绝对值的积. 2.几个有理数相乘,有一个因数为0时,积为0. 3.在有理数运算中,乘法交换律,乘法结合律、乘法分配律仍然成立. 4.因数中有带分数时,须化成假分数,再相乘. 5.类似-9917/18×9这种题目,注意拆项的技巧.把-9917/18拆成-100+1/18再与9相乘. 例1 计算 (-100)×(-20)-(-3)=__. 答 2003. [解析] 原式=2000+3=2003. 例2 观察下列各式:  想一想什么样的两数之积等于两数之和?设n表示正整数,用关于n的等式表示这个规律为:__ __=__+__.  例3 计算  解 原式  [解析] 几个不等于0的数相乘,积的符号由负因数的个数决定:负因数有奇数个,积为负;负因数有偶数个,积为正,积的符号确定之后,其余运算与小学的求积方法相同.  [解析] 合理拆项后利用乘法分配律. |