网站首页  词典首页


请输入您要查询的字词:

 

字词 有息票债券定价
类别 中英文字词句释义及详细解析
释义 有息票债券定价

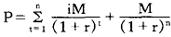
有息票债券的定价方式。假设每年付息一次,则有息票债券的定价公式为:

式中,P为债券价格;i为息票利率;M为面值;r为投资者预期收益率;n为期限。

随便看

 

离鸟网收录3541549条中英文词条,其功能与新华字典、现代汉语词典、牛津高阶英汉词典等各类中英文词典类似,基本涵盖了全部常用中英文字词句的读音、释义及用法,是语言学习和写作的有利工具。

 

Copyright © 2004-2024 vtrois.com All Rights Reserved
更新时间:2026/4/17 18:56:55