网站首页  词典首页


请输入您要查询的字词:

 

字词 有关溶质质量分数的基本计算
类别 中英文字词句释义及详细解析
释义 有关溶质质量分数的基本计算

一定要分清什么物质是溶质,什么物质是溶剂;溶质质量和溶液质量各是多少.

例 将1.2g氯化钠完全溶解于水制得15g氯化钠溶液,求此氯化钠溶液中溶质的质量分数.

解 根据溶质的质量分数计算公式:氯化钠的质量分数

答:此氯化钠溶液中溶质的质量分数为8.0%.

注意 计算溶液的质量不一定按溶液质量=溶质质量+溶剂质量.当溶质质量或溶剂质量增减时,溶液的质量可在原溶液质量的基础上加上(或减去)增加(或减少)的溶质质量和溶剂的质量.当溶质质量和溶液质量改变时,溶质的质量分数也会相应改变.其变化规律是:

1.当溶质质量不变,溶剂质量增加时,溶液质量增加,溶质的质量分数减小.

2.当溶质质量不变,溶剂质量减少时,溶液质量减少,溶质的质量分数增大.

3.当溶质质量增加,溶剂质量不变时,溶液质量增加,溶质的质量分数增大.

4.当溶质质量减少,溶剂质量不变时,溶液质量减少,溶质的质量分数减小.

5.当溶质质量和溶剂质量等比例改变时,溶质的质量分数不变.

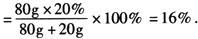
例 将80克20%NaOH溶液加入20克NaOH或加入20克水后所得溶液中溶质的质量分数分别是多少?

解 加入20gNaOH后,

溶质的质量分数

加入20g水后溶质的质量分数

答:加入20gNaOH后,溶质的质量分数是36%,加入20g水后溶质的质量分数是16%.

随便看

 

离鸟网收录3541549条中英文词条,其功能与新华字典、现代汉语词典、牛津高阶英汉词典等各类中英文词典类似,基本涵盖了全部常用中英文字词句的读音、释义及用法,是语言学习和写作的有利工具。

 

Copyright © 2004-2024 vtrois.com All Rights Reserved
更新时间:2026/4/18 11:03:30