网站首页  词典首页


请输入您要查询的字词:

 

字词 有关化学方程式计算的基本解题方法
类别 中英文字词句释义及详细解析
释义 有关化学方程式计算的基本解题方法

1.有一种反应物过量的计算:

在化学反应中,反应物之间是按化学方程式所确定的量的关系进行反应的.若反应物中的两种反应物的量(物质的量、质量或气体的体积等)都已给出,则应先通过计算判断两种反应物是否恰好完全反应.如果不是恰好完全反应,就判断哪种反应物有剩余(过量),然后再根据不足量的反应物进行计算.一种反应物过量其结果有两种:一种是过量的反应物与产物不反应;另一种是过量的反应物与产物继续反应.判断反应物过量及计算的方法有:

(1)若已知两种反应物的量,求某产物的量,其判断方法是:先求出两种反应物的物质的量之比,根据化学方程式中有关反应物化学计量数比关系进行判断.然后再按题目要求进行计算.

(2)若已知一种反应物和一种产物的量,求另一种反应物的量,且产物与要求的反应物又能发生反应,此类解答往往有两个.判断方法是:分别求出已知的反应物和产物的物质的量的大小,然后进行比较即可.

(3)若已知的反应物为一混合物或已知产物的成分不能确定时,可选取假设极限值的方法求出有关的量,再与相应的量进行比较判断.

(4)由两种物质参加的连续反应即A+B→C,B+C→D,产物是C还是D?其基本思路:连续反应,并进行处理,即: 依据参加反应的两种反应物及反应生成的产物间的相对量(质量及物质的量)成比例判断过量,确定发生的反应,进而确定生成的产物.

2.差量法:

(1)差量法是依据化学反应前后的某些“差量”与反应物或生成物的变化量成正比而建立的一种解题方法.

(2)理论依据:利用数学上的等比定理:

(3)“差量”的来源与形式:“差量”是指一个反应过程中某种物质的始态量与终态量的差值,它可以是质量差,物质的量差,气体体积差(相同条件下)等.

(4)解题方法:将“差量”看作化学方程式右端的一项,将已知差量(实际差量)与化学方程式中的对应差量(理论差量)列成比例,其他解题步骤与按化学方程式列比例式解题完全一样.解此类题的关键是根据题意找准“理论差量”和“实际差量”.

3.守恒法:

(1)守恒法是以化学反应过程中存在的某些守恒关系作为依据进行解题的方法.

(2)守恒关系的形式和来源:

a.质量守恒:化学反应前后各物质的质量总和不变.

b.电荷守恒:复分解反应中及任一电中性体系中阴阳离子所带正负电荷总量相等.

c.得失电子守恒:氧化还原反应中氧化剂与还原剂得失电子总数相等.

d.元素守恒:几个连续或平行反应前后某种微粒的物质的量相等.

(3)解题方法:抓住有关变化的始态和终态,忽略复杂的过程,找出最本质的关系,建立守恒式.

4.关系式法:

(1)关系式法;是根据多步进行的连续反应中的每一步化学方程式,找出最初反应物与最终生成物之间物质的量的关系,一步列式进行计算的方法.

(2)确定关系式的方法:

a.根据化学方程式中计量数关系来确定.

b.若最初反应物与最终生成物中均含同种元素,且反应中无损失,可利用该元素的原子守恒来确定关系式.

5.讨论法:

讨论法是解决化学计算中疑难问题的重要而有效的方法,是数学思想与化学知识的有机结合.既要求数学能力,又要求化学能力

讨论法试题的基本特点是由于题中含有不确定因素使结果多元化,必须讨论才能得到完美的答案.

(1)可能结果的讨论

a.由于反应条件的不确定使结果多元化的讨论.很多化学反应,虽然反应物完全相同,但在不同的反应条件(如反应的温度、反应物的浓度、试剂的滴加顺序等)下,也会发生不同的反应,生成不同的产物.如果题目中的反应条件为不确定因素,这就需要我们对反应可能出现的情况心中有数,逐一讨论,从而计算出正确的结果

例 产物与反应的温度有关:

产物与反应物的浓度有关:Cu+4HNO3(浓)=Cu(NO3)2+2NO22H↓(2O3Cu+8HNO3(稀)=3Cu(NO3)2+2NO4H↓(2O

产物与反应物的混合顺序有关(如前者逐滴加入后者中):

Na2CO3+2HCl=2NaCl+CO2H↓(2O

HCl+Na2CO3=NaHCO3+NaCl

b在给定反应条件下,多种反应方式并存使结果多元化的讨论.虽然题目中已给定反应条件,但在该条件下反应物间可有多种反应方式并存时,应对每种情况逐一讨论,分析可能的结果如一定量的铁和一定量的稀硝酸恰好完全反应生成一种盐的溶液时,并存的反应为:

3Fe+8HNO3(稀)=3Fe(NO3)2+2NO4H↓(2OFe+4HNO3(稀)=Fe(NO3)3+NO2H↓(2O

c.反应物间只有一种反应方式,但反应物的比例不确定使结果多元化的讨论.这种类型也就是过量问题的讨论例如Cl2、H2混合气体点燃后所得气体的成分可能为:
❶ HCl❷ HCl和Cl2❸ HCl和H2

能准确及时地挖掘出隐蔽在题目中的不确定因素是解好此类题目的关键,然后可利用假设的方法分情况逐一讨论,分别推断出可能的结果注意:有些反应,虽然滴加顺序不同,反应现象不同,但最终生成物的量却完全相等.如AlCl3+NaOH、NaAlO2+HCl等,只要反应物的量一定,无论前者加入后者,还是后者加入前者,生成的Al(OH)3沉淀的量是完全相同的.

(2)不定方程的讨论

有些题目,尽管用尽所有已知数据,仍列不出足够的代数方程,即未知数多于方程数.在无法直接求出方程解的情况下,可根据化学知识的内涵与外延对其进行分析、讨论、假设、赋值,将不确定因素转化为确定因素,从而求算出结果.如元素的化合价、相对原子质量、有机物分子中碳原子个数等都是常见的讨论对象.

讨论时一定要选准讨论角度,使问题简单化赋值时一定要符合客观实际,并严格根据题意进行合理取舍如化合价的赋值一定是正整数、相对原子质量的数值必须有与之相对应的元素存在

(3)区间讨论法

通常指发生某一反应时,反应物间相对的数量范围(比值)与产物之间的相互关系,习惯上把反应物的相对数量范围(比值)用不等式的形式表示,有时也可用数学函数图象的形式表示

a.如果随著反应物相对含量的变化,反应物间可发生连续反应,即第一个反应的产物是第二个反应的反应物时大多采用区间讨论法.例如:AlCl3溶液和NaOH溶液反应时其讨论区间为:

n(NaOH)∶n(AlCl3)≤3∶1时

AlCl3+3NaOH=Al(OH)33NaCl

n(NaOH)∶n(AlCl↓(3)≥4∶1时

AlCl3+3NaOH=Al(OH)33NaCl

Al(OH)↓(3+NaOH=NaAlO2+2H2O

总反应:

AlCl3+4NaOH=NaAlO2+3NaCl+2H2O

3∶13)<4∶1时

AlCl3+3NaOH=Al(OH)33NaCl

Al(OH)↓(3+NaOH=NaAlO2+2H2O

[Al(OH)3部分溶解]

b.如果随著反应物相对含量的变化,反应物间可发生先后两个不同的反应,但先后两个反应相对独立,此时多采用区间讨论法.如NaOH和NaHCO3的固体混合物受热时,其讨论区间为:

此类题目,一般是先定点(恰好按某一方式完全反应的临界点)后定段,从而确定出反应物用量的讨论范围.关键是找准特殊点,找全讨论段.用数轴分析法更简单明了,这样既不易交叉重复,又不易丢点漏解如果已知的是反应物与生成物的函数图象,则拐点处应为特殊点.

例1 在一定条件下,NO跟NH3可以发生反应生成N2和H2O.现有NO与NH3的混合物1mol,充分反应后所得产物中,经还原得到的N2比经氧化得到的N2多14g

(1)写出反应的化学方程式并标出电子转移的方向和数目

(2)若以上反应进行完全,试计算原反应混合物中NO与NH3的物质的量可能各是多少.

解析 (2)6molNO还原得到3molN2,4molNH3氧化得到2molN2,两者相差1moolN2现相差14g,14g÷28g·mol—1=0.5mol,相当于0.3molNO和0.2molNH3反应.

依题意NO和NH3的总物质的量为1mol,其中必有一种为过量,所以有两种情况:0.3molNO和0.7molNH3;0.2molNH3和0.8molNO.

(2)0.3molNO和0.7molNH3或0.2molNH3和0.8molNO.

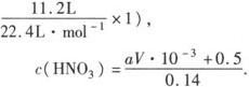
例2 (2004·天津理综·29)将32.64g铜与140mL一定浓度的硝酸反应,铜完全溶解产生的NO和NO2混合气体在标准状况下的体积为11.2L.请回答:

(1)NO的体积为__L,NO2的体积为__L

(2)待产生的气体全部释放后,向溶液中加入VmLamol/L的NaOH溶液,恰好使溶液中的Cu2+全部转化成沉淀,则原硝酸溶液的浓度为__mol/L

(3)欲使铜与硝酸反应生成的气体在NaOH溶液中全部转化为NaNO3,至少需要30%的双氧水__g

(3)铜与140mL一定浓度的硝酸反应,产生的NO和NO2,然后气体在NaOH溶液中全部转化为NaNO3.始态HNO3中氮的价态与终态NaNO3中氮的价态相同,由电子守恒规律得,铜失去电子的量与H2O2得到的电子的量相等.因此为0.51mol,至少需要30%的双氧水0.51mol×34g/mol÷30%=57.8g.

随便看

 

离鸟网收录3541549条中英文词条,其功能与新华字典、现代汉语词典、牛津高阶英汉词典等各类中英文词典类似,基本涵盖了全部常用中英文字词句的读音、释义及用法,是语言学习和写作的有利工具。

 

Copyright © 2004-2024 vtrois.com All Rights Reserved
更新时间:2026/4/18 14:11:14