网站首页  词典首页


请输入您要查询的字词:

 

字词 有两段升温的蒸煮曲线蒸煮时间的计算
类别 中英文字词句释义及详细解析
释义 有两段升温的蒸煮曲线蒸煮时间的计算

1.第一段升温及保温时间的计算

【说明】同式1-2-29、1-2-30、1-2-31。

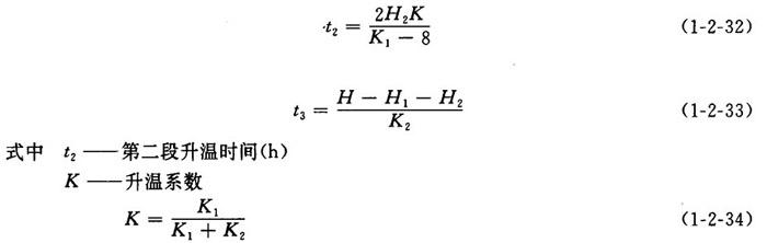
2.第二段升温及保温时间的计算

【公式】

K1——第二段升温开始温度所对应的反应速度常数

K2——第二段最高温度对应的反应速度常数

H2——第二段升温时间标准H因子

t3——第二段保温时间(h)

H1-一段升温和保温的H因子之和

H——总H因子

【例1】某厂在其它蒸煮条件不变的条件下,研究蒸煮曲线的改变。一段升温1h,小保温20min,二段升温1h,大保温1h,大放汽和放锅0.5h,总H因子1865,一段及小保温时的H1因子是38,二段的H2因子是548,最高蒸煮温度174℃,现因蒸煮用蒸汽的汽压不足,需临时改为170℃,则第二段升温及保温时间为多少?已知小保温终了的温度是141℃,此时的K1=73,170℃的K2=927;二段升温终了时H2=414。

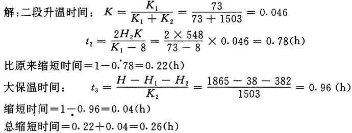
解:升温时间。

二段的升温时间比原来延长:

1.23-1=0.23(h)

二段保温时间:

保温时间延长:1.52-1=0.52(h)

二段升温、保温延长总时间:0.23+0.52=0.75(h)

【例2】若将上例中蒸煮最高温度由174℃提高到176℃,此时K2=1503,H2=382,求升温和保温缩短的时间。

随便看

 

离鸟网收录3541549条中英文词条,其功能与新华字典、现代汉语词典、牛津高阶英汉词典等各类中英文词典类似,基本涵盖了全部常用中英文字词句的读音、释义及用法,是语言学习和写作的有利工具。

 

Copyright © 2004-2024 vtrois.com All Rights Reserved
更新时间:2026/4/18 4:00:47