网站首页  词典首页


请输入您要查询的字词:

 

字词 最小平方法
类别 中英文字词句释义及详细解析
释义 最小平方法

亦称最小二乘法。

一般认为它是配合趋势线的最佳方法。最小平方法具有两个最为明显的特征,即要求:

1.原数列数值与对应趋势值的偏差平方和为最小,即

2.该偏差之和等于0,即

式中:

y为原数列数值;

为趋势线数列相应数值。

现以最小平方法模拟趋势直线为例来说明其应用。

设变量x和y之间存在线性关系,且其趋势方程为y=a+bx。其中a和b为待定系数。

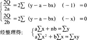
由其特点(1),根据二元函数求异数的两个必要条件,应有:

解此标准方程组,可求得a、b,再将其代入线性方程,即求出直线趋势方程y=a+bx。

用最小平方法配合趋势曲线方程的方法与上述方法相同。

随便看

 

离鸟网收录3541549条中英文词条,其功能与新华字典、现代汉语词典、牛津高阶英汉词典等各类中英文词典类似,基本涵盖了全部常用中英文字词句的读音、释义及用法,是语言学习和写作的有利工具。

 

Copyright © 2004-2024 vtrois.com All Rights Reserved
更新时间:2026/4/18 11:06:46