最小二乘法
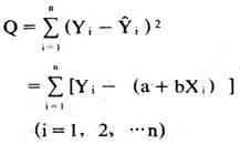
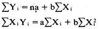
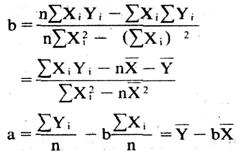
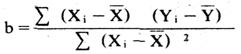
应用较为广泛的一种数学方法。 在回归预测中,用来对由自变量和因变量组成的数据点集合,作出最适合的拟合线或平面,使在各数据点上拟合线或平面的估计值与实际观测值之间的误差平方和为最小,与此同时,对表达该自变量与因变量之间函数关系的回归方程参数作出估计。由于平方运算通常称为二乘运算,所以这种以误差平方和达到极小值作为衡量数据拟合优度的标志,称为最小二乘准则,而根据这一准则作出回归方程参数估计的方法就叫做最小二乘法。 设在自变量X1和因变量Y1之间存在著线性函数关系,其拟合的直线方程可表述如下:  式中: 代表截距为a和斜率为b,对应于实际值X1的Y1估计值。令Q为因变量 的实际观测值与估计值之间的误差平方和,则有:  根据最小二乘准则 使Q为最小,取Q关于a,b的一阶偏导数,并令它们等于零,即   于是,可导出关于a和b的标准方程组  联合求解,则得出能使Q为最小的回归系数a、b的计算公式:  为简化计算,X和Y都以其平均数 和 作为原点,则回归系数b的计算公式可变换为: 
|