网站首页  词典首页


请输入您要查询的字词:

 

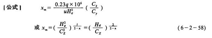
字词 最大浓度产生点的计算
类别 中英文字词句释义及详细解析
释义 最大浓度产生点的计算

式中 C(x.y.z)——在点(x.y.z.)处的污染物浓度(g/m3)

Q——污染物排放量(g/s)

U——平均风速(m/s)

x——在下风向上离开污染源的距离(m)

CyCz——水平和垂直方向上的扩散系数

y——在与风向垂直的水平方向上离开污染源的距离(m)

Z——离开地面的垂直距离(m)

n——与大气稳定性有关的参数,0~1

He——污染源距离地面的高度(m),通常采用烟囱在地面上的有效高度

Cm——最大浓度(ppm)

q——大气温度为15℃时的污染物排放量(m3/s)

xm——出现最大浓度的点的位置(m)

随便看

 

离鸟网收录3541549条中英文词条,其功能与新华字典、现代汉语词典、牛津高阶英汉词典等各类中英文词典类似,基本涵盖了全部常用中英文字词句的读音、释义及用法,是语言学习和写作的有利工具。

 

Copyright © 2004-2024 vtrois.com All Rights Reserved
更新时间:2026/4/19 20:47:18