网站首页  词典首页


请输入您要查询的字词:

 

字词 替莫西林二钠
类别 中英文字词句释义及详细解析
释义 替莫西林二钠

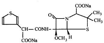
【化学名称】6β-2(-羧基-2-噻吩-3-基乙酰胺基)-6α-甲氧基青霉烷酸二钠

【化学结构】

【药理作用】本品为耐β-内酰胺酶的半合成青霉素。通过干扰细菌细胞壁的合成而产生杀菌作用。其抗菌谱包括除绿脓杆菌以外的需氧革兰阴性菌。特别对肠杆菌科如大肠杆菌、沙门氏菌属、志贺氏菌属、肺炎杆菌、变形杆菌、肠杆菌属、粘质沙雷氏菌和柠檬酸杆菌都有良好的抗菌作用。

【药代动力学】肌肉注射后2h,血药浓度达峰值。蛋白结合率约为85% 。本品以原形药物通过肾脏和胆道排除,排泄率分别为80% 和10% ,半衰期长达5h。

【适应证】尿路感染、呼吸道感染、败血症、腹膜炎、手术后创口感染和脓肿、胆道感染和淋病。

【剂量与用法】肌肉注射,成人每12h肌注0.5~1 g。

【不良反应】偶见皮肤瘙痒、恶心、呕吐、腹泻等。

【注意事项】禁用于对青霉素过敏者。肾功能不全者须减

【化学结构】少剂量。妊娠期及授乳期妇女用药尚无经验。

【制剂规格】注射剂:每小瓶含本品500 mg或1000 mg。

随便看

 

离鸟网收录3541549条中英文词条,其功能与新华字典、现代汉语词典、牛津高阶英汉词典等各类中英文词典类似,基本涵盖了全部常用中英文字词句的读音、释义及用法,是语言学习和写作的有利工具。

 

Copyright © 2004-2024 vtrois.com All Rights Reserved
更新时间:2026/4/21 21:54:23