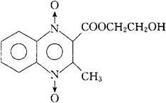
替莫多司
C12H12N2O5=264.24 CAS-34499-96-2 2-羟乙酯,3-甲基,2-喹喔啉羧酸,1,4-二氧化物。 2-Quinoxalinecarboxylic acid,3-methyl-,2-hydroxyethyl ester,1,4-dioxide. 2-羟基乙基3-甲基-2-喹喔啉羧酸酯1,4-二氧化物。 2-Hydroxyethyl 3-methyl-2-quinoxalinecaboxylate 1,4-dioxide. 抗菌药,抗感染药,动物生长刺激药。 Temodox,CP-22,341. INN,USAN.  |