网站首页  词典首页


请输入您要查询的字词:

 

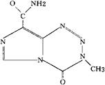
字词 替莫唑胺
类别 中英文字词句释义及详细解析
释义 替莫唑胺

C6H6N6O2=194.15

CAS-85622-93-1

3,4-二氢-3-甲基-4-氧代咪唑并[5,1-d]-偏-四嗪-8-甲酰胺。

3,4-Dihydro-3-methyl-4-oxoimidazo[5,1-d]-astetrzine-8-carboxamide.

抗肿瘤药。

Temozolomide,M&B 39831,CCRG 81045,NSC 362856,Methazolastone.

INN,BAN,USAN.

随便看

 

离鸟网收录3541549条中英文词条,其功能与新华字典、现代汉语词典、牛津高阶英汉词典等各类中英文词典类似,基本涵盖了全部常用中英文字词句的读音、释义及用法,是语言学习和写作的有利工具。

 

Copyright © 2004-2024 vtrois.com All Rights Reserved
更新时间:2026/4/18 12:37:30