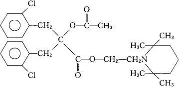
替芬哌酯
C29H37Cl2NO4=354.52 CAS-77342-26-8 2-(2,2,6,6-四甲基-1-哌啶基)乙基α-(乙酰氧)-2-氯-α-[(2-氯苯基)甲基]苯丙酸酯。 2-(2,2,6,6-Tetramethyl-l-piperidinyl)ethyl α-(acetyloxy)-2-chloro-α-[(2-chlorophenyl)methyl]benzenepropanoate. 邻-氯-α-(邻氯苄基)-α-羟基氢化肉桂酸醋酸2-(2,2,6,6-四甲哌啶基)乙酯。 2-(2,2,6,6-Tetramethylpiperidino)ethyl o-chloroα-(o-chlorobenzyl)-α-hydroxyhydrocinnamate acetate(ester). 抗高血压药。 太芬普特。 Tefeperate,Go 3471-B. INN,USAN. 
|