替索罗米
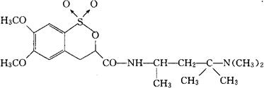
C19H30N2O6S=414.52 CAS-35423-51-9 N-[3-(二甲氨基)-1,3-二甲丁基]-3,4-二氢-6,7-二甲氧-2,1-苯并氧硫杂环己烷-3-甲酰胺,1,1-二氧化物。 N-[3-(Dimethylamino)-1,3-dimethylbutyl]-3,4-dihydro-6,7-dimethoxy-2,1-benzoxathian-3-carboxamide,1,1-dioxide. 镇静药,抗抑郁药。 替索酰胺。 Tisocromide,Impavido,16-244 AWD,DMAN. INN,USAN.  |