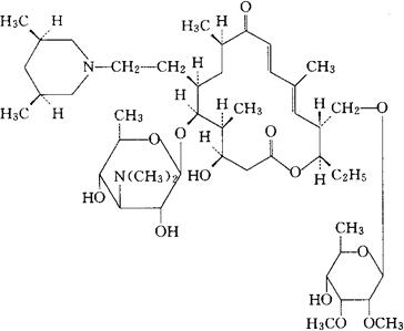
替米考星
C46H80N2O13=869.15 CAS-108050-54-0 泰乐菌素,4A-O-脱(2,6-二脱氧-3-C-甲基-α-L-核-吡喃己糖基)-20-去氧代-20-(3,5-二甲基-1-哌啶基)-,20(顺)-。 Tylosin,4A-O-de(2,6-dideoxy-3-C-methyl-α-L-ribohexopyranosyl)-20-deoxo-20-(3,5-dimethyl-1-piperidinyl)-,20(cis)-. 4A-O-脱(2,6-二脱氧-3-C-甲基-α-L-核-吡喃己糖基)-20-脱氧-20-(顺-3,5-二甲哌啶基)泰乐菌素。 4A-O-De(2,6-dideoxy-3-C-methyl-α-L-ribo-hehexopyranosyl)-20-deoxo-20-(cis-3,5-dimethylpiperidino)tylosin. 抗菌药。 Tilmocosin,LYl77370,EL870. INN,BAN,USAN.  |