网站首页  词典首页


请输入您要查询的字词:

 

字词 替泊沙林
类别 中英文字词句释义及详细解析
释义 替泊沙林

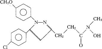
C20H20ClN3O3=385.85

CAS-103475-41-8

5-(4-氯苯基)-N-羟-1-(4-甲氧苯基)-N-甲基-1H-吡唑-3-丙酰胺。

1H-Pyrazole-3-propanamide,5-(4-chlorophenyl)-Nhydroxy-l-(4-methoxyphenyl)-N-methyl-.

5-(对-氯苯基)-1-(对-甲氧苯基)-N-甲基吡唑-3-丙酰异羟肟酸。

5-(p-Chlorophenyl)-1-(p-methoxyphenyl)-N-methylpyrazole-3-propionohydroxamic acid.

消炎药。用于治疗牛皮癣、干癣。

太波沙林。

Tepoxalin,ORF 20485,RWJ 20485.

INN,USAN.

随便看

 

离鸟网收录3541549条中英文词条,其功能与新华字典、现代汉语词典、牛津高阶英汉词典等各类中英文词典类似,基本涵盖了全部常用中英文字词句的读音、释义及用法,是语言学习和写作的有利工具。

 

Copyright © 2004-2024 vtrois.com All Rights Reserved
更新时间:2026/4/18 2:47:22