网站首页  词典首页


请输入您要查询的字词:

 

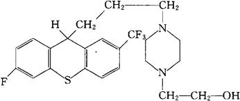
字词 替氟替索
类别 中英文字词句释义及详细解析
释义 替氟替索

C23H26F4N2OS=454.52

CAS-55837-23-5

4-[3-[6-氟-2-(三氟甲基)噻吨-9-基]丙基]-1-哌嗪乙醇。

4-[3-[6-Fluoro-2-(trifluoromethyl)thioxanthen-9-yl]propyl]-1-piperazineethanol.

安定药。

Teflutixol,Flutixan,Lu 10022.

INN,USAN.

随便看

 

离鸟网收录3541549条中英文词条,其功能与新华字典、现代汉语词典、牛津高阶英汉词典等各类中英文词典类似,基本涵盖了全部常用中英文字词句的读音、释义及用法,是语言学习和写作的有利工具。

 

Copyright © 2004-2024 vtrois.com All Rights Reserved
更新时间:2026/4/18 11:30:17