网站首页  词典首页


请输入您要查询的字词:

 

字词 替曲那新5930
类别 中英文字词句释义及详细解析
释义 替曲那新5930

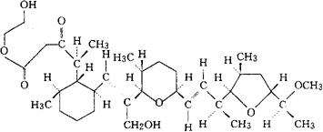
C35H54O8=602.81

CAS-75139-06-0

CAS-75139-05-8(tetronasin)

4-羟-3-[(2S)-2-[(1S,2S,6R)-2-[(1E)-3-羟-2[(2R,3R,6S)-四氢-3-甲基-6-[(1E,3S)-3-[(2R,3S,5R)-四氢-5-[(1S)-1-甲氧乙基]-3-甲基-2-呋喃基]-1-丁烯基]-2H-吡喃-2-基]-丙烯基]-6-甲基环己基]-丙酰]-2-(5H)-呋喃酮。

4-Hydroxy-3-[(2S)-2-[(1S,2S,6R)-2-[(1E)-3-hydroxy-2-[(2R,3R,6S)-tetrahydro-3-methyl-6-[(1E,3S-3-[(2R,3S,5R)-tetrahydro-5-[(1S)-1-methoxyethyl]-3-methyl-2-furyl]-1-butenyl]-2Hpyran-2-yl]-propenyl]-6-methylcyclohexyl]propionyl]-2(5H)-furanone.

生长促进药。

Tetronasin 5930.

INN,BAN(Tetronasin),USAN,MI.

随便看

 

离鸟网收录3541549条中英文词条,其功能与新华字典、现代汉语词典、牛津高阶英汉词典等各类中英文词典类似,基本涵盖了全部常用中英文字词句的读音、释义及用法,是语言学习和写作的有利工具。

 

Copyright © 2004-2024 vtrois.com All Rights Reserved
更新时间:2026/4/18 7:39:04