网站首页  词典首页


请输入您要查询的字词:

 

字词 替普瑞酮
类别 中英文字词句释义及详细解析
释义 替普瑞酮

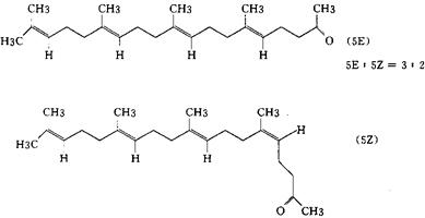
C23H38O=330.55

CAS-6809-52-5

6,10,14,18-四甲基-5,9,13,17-十九烷四烯-2-酮,(5E,9E,13E)和(5Z,9E,13E)异构体的混合物。

6,10,14,18-Tetramethyl-5,9,13,17-nonadecatetraen-2-one,mixture of(5E,9E,13E)and(5Z,9E,13E)isomers.

抗溃疡病药。

Peprenone,Geranylgeranylacetone,Cerbex,Selbex,Tetprenone,E 671,GGA.

INN,JAN,USAN,MI.

随便看

 

离鸟网收录3541549条中英文词条,其功能与新华字典、现代汉语词典、牛津高阶英汉词典等各类中英文词典类似,基本涵盖了全部常用中英文字词句的读音、释义及用法,是语言学习和写作的有利工具。

 

Copyright © 2004-2024 vtrois.com All Rights Reserved
更新时间:2026/4/18 11:13:48