网站首页  词典首页


请输入您要查询的字词:

 

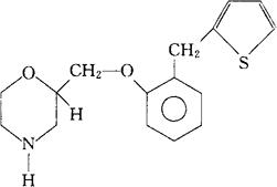
字词 替尼沙秦
类别 中英文字词句释义及详细解析
释义 替尼沙秦

C16H19NO2S=289.39

CAS-62473-79-4

(±)-2-[[α-(2-噻嗯基-邻-甲苯基)氧]甲基]吗啉。

(±)-2-[[α-(2-Thienyl-o-tolyl)oxy]methyl]morpholine.

抗抑郁药。

泰利西生。

Teniloxazine.

INN,USAN,MI.

随便看

 

离鸟网收录3541549条中英文词条,其功能与新华字典、现代汉语词典、牛津高阶英汉词典等各类中英文词典类似,基本涵盖了全部常用中英文字词句的读音、释义及用法,是语言学习和写作的有利工具。

 

Copyright © 2004-2024 vtrois.com All Rights Reserved
更新时间:2026/4/18 13:45:21