网站首页  词典首页


请输入您要查询的字词:

 

字词 替可的松
类别 中英文字词句释义及详细解析
释义 替可的松

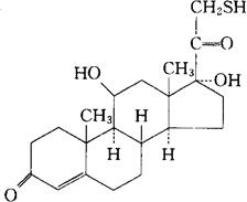
C21H30O4S=378.53

CAS-61951-99-3

11,17-二羟-21-巯基孕甾-4-烯-3,20-二酮。

11,17-Dihydroxy-21-mercaptopregn-4-ene-3,20-dione.

11β,17α-羟-21-硫代-3,20-二氧代-4孕甾烯。

11β,17α-Dihydroxy-21-thio-3,20-dioxo-4-pregnene.

消炎药。

硫氢可的松。

Tixcortol,Tiocortisol.

INN,BAN,MI.

随便看

 

离鸟网收录3541549条中英文词条,其功能与新华字典、现代汉语词典、牛津高阶英汉词典等各类中英文词典类似,基本涵盖了全部常用中英文字词句的读音、释义及用法,是语言学习和写作的有利工具。

 

Copyright © 2004-2024 vtrois.com All Rights Reserved
更新时间:2026/4/19 3:14:11