替卡西林钠
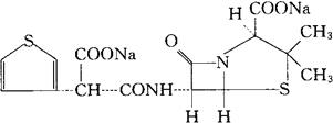
C15H14N2Na2O6S2=428.38 CAS-4697-14-7 6-[(羧-3-噻吩基乙酰)胺基]青霉烷酸二钠。 6-](Carboxy-3--thienylacetyl)amino]penicillanic acid disodium salt. 6-[(羧-3-噻吩基乙酰)氨基]-3,3-二甲基-7-氧代-4-硫杂-1-氮杂双环[3.2.0]庚烷-2-羧酸二钠盐。 6-[(Carboxy-3-thienylacetyl)amino]-3,3-dimethyl7-oxo-4-thia-1-azabicyclo[3.2.0]heptane-2-carboxylic acid,disodium salt. 抗生素类药。 Ticarpen,Ticar,Ticarcillin Disodium,Aerugipen, BRL 2288,Monapen. INN,USP,MI.  |