网站首页  词典首页


请输入您要查询的字词:

 

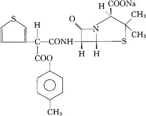
字词 替卡西林甲苯钠
类别 中英文字词句释义及详细解析
释义 替卡西林甲苯钠

C22H21N2NaO6S2=496.53

CAS-59070-06-3

CAS-59070-07-4(ticarcillin cresyl)

[2S[2α,5α,6β(S*)]]-3,3-二甲基-6-[[3-(4-甲基苯氧)-1,3-二氧代-2-(3-噻吩基)丙基]氨基]-7-氧代-4-硫杂-1-氮杂双环[3.2.0]庚烷-2-羧酸钠。

[2S-[2α,5α,6β(S*)]]-3,3-Dimethyl-6-[[3-(4- methylphenoxy)-1,3-dioxo-2-(3-thienyl)propyl]amino]-7-oxo-4-thia-1-azabicyclo[3.2.0]heptane-2-carboxylic acid,monosodium.

对-甲苯基(R)-N-[(2S,5R,6R)-(2-羟-3,3-二甲基-7-氧代-4-硫杂-1-氮杂双环[3.2.0]庚-6-基)]-3-硫代苯丙酰胺酸钠盐。

p-Tolyl(R)-N-[(2S,5R,6R)-(2-carboxy-3,3-dimethyl-7-oxo-4-thia-1-azabicyclo[3.2.0]hept-6-yl)]-3-thiophenemalonamate sodium salt.

抗生素类药(抗假单孢菌活性)。

Ticarcillin Cresyl Sodium,BRL 12594.

USAN.

随便看

 

离鸟网收录3541549条中英文词条,其功能与新华字典、现代汉语词典、牛津高阶英汉词典等各类中英文词典类似,基本涵盖了全部常用中英文字词句的读音、释义及用法,是语言学习和写作的有利工具。

 

Copyright © 2004-2024 vtrois.com All Rights Reserved
更新时间:2026/4/20 19:46:53