网站首页  词典首页


请输入您要查询的字词:

 

字词 曲马唑嗪
类别 中英文字词句释义及详细解析
释义 曲马唑嗪

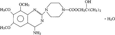
C20H29N5O6·H2O=453.50

CAS-35795-16-5

4-(4-氨基-6,7,8-三甲氧-2-喹唑啉基)-1-哌嗪羧酸,2-羟-2-甲基丙酯-水化合物。

4-(4-Amino-6,7,8-trimethoxy-2-quinazolinyl)-1-piperazinecarboxylic acid,2-hydroxy-2-methylpropyl ester,monohydrate.

4-(4-氨基-6,7,8-三甲氧基-2-喹唑啉基)-1-哌嗪羧酸2-羟-2-甲基丙酯一水化合物。

2-Hydroxy-2-methylpropyl 4-(4-amino-6,7,8-trimethoxy-2-quinazolinyl)-1-piperazinecarboxylate monohydrate.

抗高血压药,心脏兴奋药。

Trimazosin.

INN & BAN(Trimazosin),USAN.

随便看

 

离鸟网收录3541549条中英文词条,其功能与新华字典、现代汉语词典、牛津高阶英汉词典等各类中英文词典类似,基本涵盖了全部常用中英文字词句的读音、释义及用法,是语言学习和写作的有利工具。

 

Copyright © 2004-2024 vtrois.com All Rights Reserved
更新时间:2026/4/18 18:57:17