| 释义 |
曲线积分
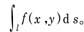
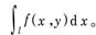
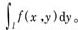
亦称“线积分”。 禷指拍畹耐乒恪I?I>f(x,y)是定义于曲线l上的函数,将l任意划分为n段小弧l1,l2,…,ln,记lk的弧长为Δsk,在l上任取一点(xk,yk),作和式  当Δsk中最大的弧长趋于零时,如果和式的极限存在,并且此极限与l的划分无关,又与(xk,yk)在lk上的选取无关,则称这极限为f(x,y)在l上的第一类曲线积分,记作  又设在l上取定一个方向为正向,并设有向弧lk在x轴上的射影为Δxk,在上面和式中,用Δxk代替Δsk,即  如果这和式的极限存在,并且此极限与l的划分无关,又与(xk,yk)在lk上的选取无关,则称这极限为f(x,y)沿l的第二类曲线积分,记作  同样可以定义 以上的概念还可以推广到高维空间。曲线积分通常可以化为定积分进行计算。 |